Riset yang signifikan telah dilakukan untuk memahami proses sambaran petir pada struktur. Hal ini mendorong pada peningkatan untuk memprakirakan seberapa banyak sambaran petir yang dapat menyambar penghantar dan juga dapat memberikan rekomendasi penempatan shielding untuk mengurangi jumlah sambaran petir pada konduktor fasa. Lebih jauh lagi, berdasarkan bukti video sambaran petir pada penghantar dan tower menunjukan kalau metode kalkulasi standard pada shielding seperti Electro-Geometric Method (EGM) dimungkinkan terjadi kegagalan dalam memprediksi secara akurat atraksi dari upward leader saat proses pembentukan channel sambaran petir terutama pada struktur tinggi dan konduktor pada SUTET.
Walaupun begitu, kita coba menelaah metode EGM untuk mengasah konsep sambaran langsung ke konduktor sebelum kita membahas lebih dalam mengenai konsep lain yang lebih advance.
Terminologi Dasar Petir
Kita coba review lagi teori terkait petir dan hubungannya dengan objek struktur tinggi yang saya sadur dari Technical Book Cigre 839.
Petir merupakan pelepasan muatan elektrostatic pada atmospher dengan amplitudo arus yang tinggi dan melibatkan obyek baik pada permukaan bumi atau pada udara. Kebanyakan sambaran petir terjadi di dalam awan yang sama (intra cloud), antara awan (inter cloud) dan antara awan dan udara. Kelompok tersebut dikenal dengan sebutan “IC”. Hanya seperempat dari total sambaran petir terjadi ke permukaan bumi dan disebut sambaran cloud to ground atau “CG”. Pada pembahasan ini, kita fokus pada sambaran CG yang dapat berdampak pada saluran transmisi.
Sambaran CG dikategorikan sebagai pengembangan lebih lanjut dari pelepasan muatan melalui udara dimana terjadi leader dan perubahan polaritas muatan yang ditransfer dari awan ke ground. Lebih lanjut, terdapat empat tipe dari sambaran petir yaitu:
- Downward negative
- Upward negative
- Downward positive
- Upward positive

Secara umum, sambaran downward dengan polaritas negative merupakan kejadian sambaran yang paling banyak terjadi, sekitar 90% dari total sambaran petir CG yang terjadi.
Untuk seterusnya kita akan menggunakan dua istilah dalam proses sambaran petir, yaitu kilatan (flashes) dan sambaran (stroke). Dua kata tersebut memiliki interpretasi yang berbeda. Misal, kilatan merujuk pada kejadian pelepasan muatan petir, sementara sambaran merujuk pada sambaran yang terjadi dalam kilatan tersebut, biasanya berupa busur-busur petir yang terbentuk seperti akar pohon.
Lanjut.
Kilatan CG negative terdiri dari beberapa return stroke atau sambaran. Tipikal sambaran yang terjadi dalam satu kali kilatan adalah 3 sampai 5 kali sambaran dengan waktu jeda sekitar 60 ms. Yang membedakan antara sambaran pertama yang mana terdiri dari arus puncak yang tinggi setelah jalur pada udara yang telah breakdown terhubung sempurna ke tanah, kurang lebih 2 hingga 3 kali lebih tinggi dibanding sambaran berikutnya, setelahnya diikuti oleh sambaran berikutnya pada jalur yang telah terhubung itu, walaupun tidak selalu pada path yang sama.
Efek Sambaran Pada Jaringan Transmisi
Sambaran petir pada SUTT/SUTET dapat menyebabkan flash over pada insulasi yang berdampak pada padam penghantar hingga kerusakan komponen jaringan. Terdapat tiga kondisi yang mempengaruhi performa jaringan terhadap sambaran petir yaitu:
- Shielding failure: Petir menyambar konduktor fasa. Kondisi ini cendrung terjadi pada penghantar yang tidak memiliki shield atau GSW (Ground Steel Wire) atau sambaran petir mem-bypass shield wire yang telah terpasang pada span. Kalau arus sambaran petir cukup tinggi, hal tersebut dapat menyebabkan flashover diakibatkan peningkatan tegangan di konduktor fasa. Shielding failure rate atau laju kegagalan shielding ditentukan dengan mempertimbangkan kehadiran dan posisi pemasangan shield wire relatif terhadap konduktor fasa.
- Backflashover: Petir menyambar shield wire atau tower. Akumulasi dari arus sambaran dialirkan ke ground, proses tersebut menghasilkan kenaikan potensial pada struktur yang pada level tertentu dapat menyebabkan flashover dari struktur ke konduktor fasa. Laju terjadinya backflashover ditentukan oleh kombinasi impedansi dari struktur dan sistem pentanahan (termasuk shield wire)
- Induksi tegangan lebih: Petir menyambar ke tanah atau objek yang terhubung ke tanah. Pada kondisi ini, tegangan menginduksi ke fasa konduktor saat petir menyambar objek grounded lain, sehingga tegangan langkah akibat arus petir tersebut menginduksi ke konduktor. Pada kondisi ini tegangan lebih jarang mencapai 250-300 kV dan jarang terjadi pada penghantar tegangan tinggi, dan umum nya terjadi pada level tegangan menengah hingga rendah.
Karakteristik Sambaran Petir
Performa jaringan transmisi terhadap sambaran petir secara langsung berhubungan dengan frekuensi terjadi sambaran dan tingkat keparahan sambaran. Frekuensi terjadinya sambaran petir diekspresikan dengan rata-rata lightning ground flash density (GFD dalam flashes/km2/year). Berdeda ya antara hanya mendapatkan jumlah sambaran petir dibanding dengan mendapatkan jumlah sambaran per luasan suatu area.

Pembentukan Sambaran Petir
Bagian paling penting dalam menentukan performa jaringan transmisi terhadap sambaran petir adalah untuk menentukan berapa banyak sambaran petir yang berpotensi mengenai penghantar dan bagaimana sambaran tersebut terdistribusi antara sheild wire dengan konduktor fasa. Objek yang menonjol terhadap permukaan tanah seperti jaringan transmisi, tower atau turbin angin dapat membentuk daya tarik medan listrik yang berpotensi rawan terbentuknya upward leaders.
Untuk memahami metode kalkulasi yang digunakan untuk pemodelan proses tarik menarik sambaran, pemahaman mendasar mengenai proses pembentukan sambaran negative downward (ke bawah negatif) dan bagaimana kaitannya dengan object pada ground sangat diperlukan.
Proses Tarikan Sambaran Negatif ke Bawah Dengan Obyek pada Ground
Seperti yang sudah dijelaskan sebelumnya, sambaran negatif ke bawah dimulai dengan inisiasi dari stepped leader dari muatan negatif yang terkonsentrasi pada awan. Stepped leader mucul secara bertahap mengarah ke bumi dengan medan listrik yang melampaui 100 kV/m

Stepped leader berperan sebagai jalur penghubung yang membawa muatan dari awan ke tanah. Geometri dari muatan yang terkonsentrasi pada ujung leader menghasilkan medan listrik yang sangat tinggi yang menghasilkan ionisasi di udara. Proses ionisasi itu disebut streamer dan membentuk zona streamer di ujung leader.
Saat stepped leader mendekaTi ground, medan listrik di sekitar obyek pada ground akan meningkat hingga pada titik tertentu, medan listrik cukup tinggi untuk mengionisasi udara dan menginisiasi pembentukan upward leader.

Kedua downward dan upward leader terbentuk dan tumbuh ke arah dengan medan listrik tertinggi, tapi ada faktor ke randoman dalan pola pertumbuhan leader tersebut sehingga tidak mesti leader merambat pada jalur dengan gradien potensial tertinggi.
Kondisi akhir adalah terjadinya lompatan yang menghubungkan streamer pada tiap-tiap leader sehingga terbentuklah sambaran yang sempurna dari awan ke tanah.

Ada dua parameter yang dapat digunakan untuk menentukan bagaimana respon antara objek pada ground terhadap sambaran langsung yaitu, striking distance dan attractive distance.
Striking distance adalah jarak yang terbentuk antara ujung downward leader dan titik ground yang diprakirakan menjadi target sambaran misal shield wire.
Attractive distance adalah jarak horizontal antara titik vertikal downward leader apabila diasumsikan tegak lurus terhadap bumi dan relatif terhadap target sambaran.
Striking dan attractive distance dapat digunakan untuk menentukan jumlah sambaran ke shield wire atau struktur tower (untuk mengevaluasi potensi backflashover) dan ke konduktor fasa (untuk mengevaluasi potensi shielding failure).
Electro-Geometric Method
EGM merupakan metode yang umum digunakan untuk mengevaluasi resiko dari sambaran petir pada jaringan transmisi. Konsep dari EGM berdasarkan hubungan antara potensial listrik pada downward leader dan magnitude dari arus petir dengan persamaan sebagai berikut.
r = AI^{b}_{p}
Dimana:
- r: striking distance [m]
- Ip: Arus puncak petir [kA]
- A, b: Konstanta tergantuk dari persamaan yang digunakan
Pendekatan yang digunakan dama EGM diilustrasikan dengan gambar di bawah ini:

Illustrasi di atas menggambarkan proses penarikan petir ke jaringan transmisi berdasarkan striking distance dan attractive radius. Shielding dari transmisi untuk melindungi konduktor dilakukan oleh shield wire (GSW) dengan mencegah leader petir menyambar langsung ke konduktor. Tetapi, untuk beberapa sambaran dengan magnitude yang tidak terlalu tinggi memiliki kemungkinan untuk tidak dapat ‘ditangkap’ oleh shield wire sehingga menyambar ke konduktor dan menyebabkan shielding failure.
Berdasarkan illustrasi di atas, sambaran petir yang menjangkau Dc (exposure width) memiliki kemungkinan untuk menyambar konduktor secara langsung.
Studi Kasus
Diketahui tower SUTT 150 kV tersambar petir dengan detail sebagai berikut:
- Ip = 15 #arus puncak petir [kA]
- hs = 33.02 #Tinggi shield wire [m]
- hc_top = 28 #tinggi konduktor fasa atas [m]
- hc_mid = 23.5 #tinggi konduktor fasa tengah [m]
- hc_low = 18.99 #tinggi konduktor fasa bawah [m]
- dist_gsw = 3.5 #jarak gsw dari titik tengah tower [m]
- dist_cond = 3.72 #jarak konduktor dari titik tengah tower [m]

Tentukan apakah tower tersebut berpotensi terjadi sambaran langsung ke konduktor dengan arus puncak petir 15 kA dan berapa kA maksimal arus petir yang dapat menyebabkan shielding failure (I_{msf})?
Dan berikut penjelasannya.
Apabila kita hitung menggunakan persamaan EGM dengan konstanta IEEE Std 1243

Maka kita akan mendapat hasil sebagai berikut.
Berdasarkan formula di atas, apabila kita plot parameter tersebut kedalam grafik kartesian maka dapat kita visualisasikan interaksi antara striking distance shield wire dengan striking distance to earth surface. Dalam plot di bawah ini menunjukkan kalau pada sambaran sebesar 15 kA tidak dapat menyebabkan shielding failure karena konduktor terlindungi oleh striking distance shield wire dan striking distance to earth surface.

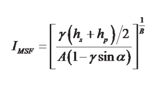
Untuk mendapatkan nilai maksimal arus petir yang dapat menyebabkan sambaran langsung, kita bisa menggunakan formula berikut ini.

Maka akan didapat nilai I_{msf} sebesar 8.2 kA. Jika kita simulasikan besar arus tersebut maka akan menghasilkan plot sebagai berikut.

Dari hasil plot di atas menunjukan kalau striking distance konduktor terlindung oleh striking distance to shield wire dan to ground sehingga pada sambaran sebesar 8.2 kA atau lebih, konduktor cendrung lebih terlindungi.
Sekarang kita coba dengan sambaran sebesar 5 kA, maka akan menghasilkan respon seperti ini.

Berdasarkan plot tersebut, konduktor tidak terlindungi baik oleh striking distance shield wire maupun striking distance to earth surface.
Simpulan
Meskipun secara teori dapat kita modelkan dengan beberapa metode, namun untuk kasus shielding failure terdapat beberapa limitasi, terutama disebabkan oleh faktor ke-randoman sambaran petir dan karakteristik elektromagnetik yang kompleks. Sehingga penting untuk kita menambahkan analisa berdasarkan aspek lain seperti temuan lapangan atau hasil pembacaar DFR.
Berdasarkan temuan oleh beberapa peneliti menunjukan kalau semakin tinggi level tegangan sistem misal 500 kV maka akurasi perhitungan akan semakin rendah dikarenakan faktor:
- Pada perhitungan EGM, tegangan sistem diabaikan, meskipun tegangan sistem memainkan peran penting dalam pembentukan upward leader.
- Perhitungan striking distance tidak sepenuhnya memperhitungkan pembentukan formasi upward leader dari struktur tinggi atau komponen bertegangan pada struktur tinggi.
Walaupun begitu, konsep EGM dapat membantu kita untuk memahami fenomena sambaran pada struktur tinggi sebelum melakukan analisa yang lebih kompleks dengan metode lain.
Kita lanjut lagi untuk postingan selanjutnya. Sekali lagi, kalau ada penjelasan di atas yang keliru atau masih rancu, feel free untuk meninggalkan komentar sebagai bahan diskusi.
Terima kasih.
Referensi
- Cigre WG C4.23. TB 839 Procedures for Estimating the Lightning Performance of Transmission Lines-New Aspects
- Cigre WG C4.26. 704 Evaluation of Lightning Shielding Analysis Methods for EHV and UHV DC and AC Transmission Line
